عکس ریاضی هشتم صفحه ۵۵

- محمد علی
- 26 تیر 1403
- 3 دیدگاه
جواب تمرین صفحه 55 ریاضی هشتم رایگان ⭐️ حل و گام به گام سوال 1 ، 2 ، 3 ، 4 ، 5 ، 6 تمرین صفحه پنجاه و پنج ریاضی هشتم با راه حل ، برای تکالیف مشق کتاب به صورت مجانی
جواب ریاضی هشتم صفحه ۵۵ ✔️ حل سوال 1 و 2 و 3 و 4 و 5 تمرین صفحه 55 ریاضی هشتم در سایت نوین گام
جواب صفحه ۵۵ ریاضی هشتم ◀️ پاسخ گام به گام تمرین صفحه 55 ریاضی پایه هشتم متوسطه ساده کردن عبارت های جبری از فصل ۴ جبر و معادله با راه حل
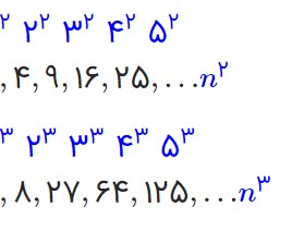
تمرین ص ۵۵
پاسخ تمرین صفحه ۵۵ ریاضی هشتم ۲۰ ریاضی با یک ویدئو ۲ ساعته از اینجا شروع کن سوال ۱:عبارت جبری جمله nام هر یک از الگوهای عددی زیر را بنویسید. جواب: ۲۰ ریاضی با یک ویدئو ۲ ساعته از اینجا شروع کن سوال ۲: عبارتهای جبری زیر را ساده کنید. جواب: اگر جملهای ضریب نداشت […]
در این نوشته با جواب تمرین صفحه 55 ریاضی هشتم همراه شما هستیم.
رایگان ثبت نام کنید و اولین نفری باشید که از پست های جدید مطلع می شوید.