عکس ریاضی ششم صفحه ی ۱۰۱

- محمد علی
- 20 آذر 1402
- 3 دیدگاه
جواب فعالیت های صفحه ۹۹ ریاضی ششم ⭕️ پاسخ سوال های صفحه 99 ریاضی ششم ابتدایی از فصل پنجم اندازه گیری ✳️ با راه حل کامل و تدریس دقیق ویدیویی
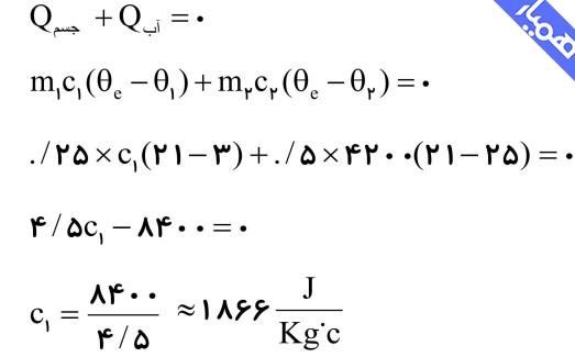
جواب تمرین صفحه 100 و 101 ریاضی ششم رایگان ⭐️ حل سوال 1 ، 2 ، 3 ، 4 تمرین صفحه صد و صد یکد کتاب ریاضی ششم ابتدایی رو برای شما عزیزان گذاشتیم تا کاملا رایگان و مجانی دانلود کنید و تو حل مشق و سوالاتون استفاده کنید.
ششمی های هنگویه این جهان کوه است و فعل ما ندا سوی ما آید نداها را صدا
گام به گام فصل پنجم ریاضی ششم شامل جواب تمام صفحه ها و سوالات فصل پنجم ریاضی ششم
( حل تشریحی کامل و رایگان تمرین های درس ریاضی ششم) + پاسخ صفحه 103 ریاضی ششم
رایگان ثبت نام کنید و اولین نفری باشید که از پست های جدید مطلع می شوید.